
礦熱爐變壓器
產品詳情
1、礦熱爐變壓器的概述
礦熱爐是一種耗電量巨大的工業電爐。主要由爐殼,爐蓋、爐襯、短網,水冷系統,排煙系統,除塵系統,電極殼,電極壓放及升降系統,上下料系統,操縱器,燒穿器,液壓系統,礦熱爐變壓器及各種電器設備等組成。礦熱爐是鐵合金爐、電石爐、黃磷爐、電熔剛玉爐、碳化硼爐、氰鹽爐等各種埋弧爐的總稱。
2、礦熱爐變壓器的用途
主要用于復原鍛煉礦石,碳質復原劑等原料。礦熱爐變壓器是用處十分廣泛的埋弧爐用變壓器,跟著鍛煉工藝的不同要求,產品首要適用于電石爐(HC)、鐵合金(HT)和黃磷、剛玉、農藥等各類礦熱變壓器。
3、礦熱爐變壓器的結構特征
礦熱爐變壓器/鍛煉變壓器的負載接連、平穩,阻抗電壓低,調壓級數較多,級差較小過載能力強。可分為有載、無勵磁調壓兩種。一般前幾級恒容量愉出,后幾級恒電流輸出。
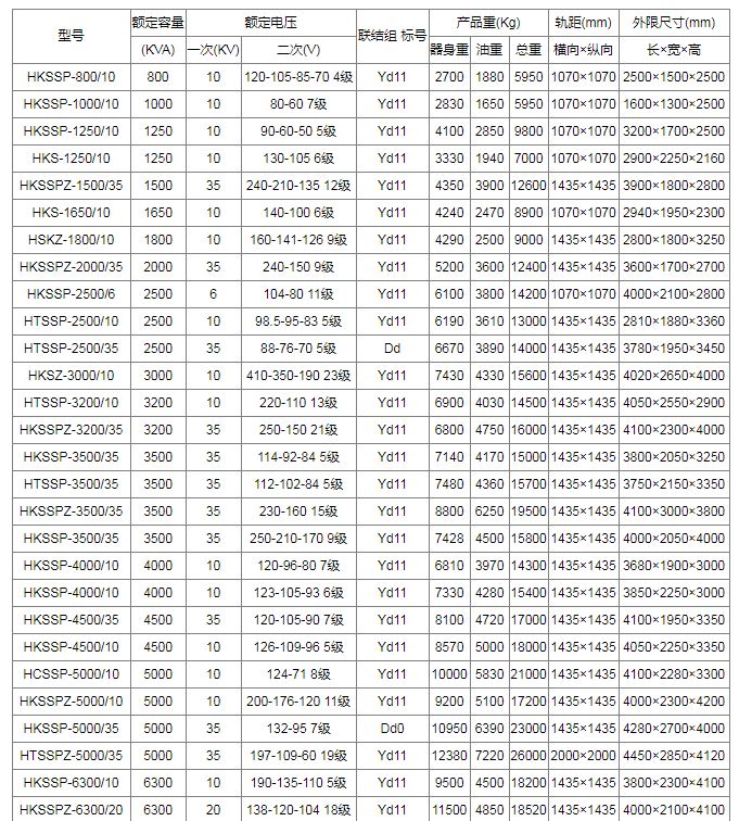
礦熱爐變壓器的技術數據




詢盤






